Le 19/12/2022
Comme expliqué dans l’article précédent sur la simulation numérique fréquentielle, l’étape de validation de conception des produits se limite souvent à la réalisation d’études statiques linéaires. Cependant, n’oubliez pas de prendre en compte les risques sur les géométries fines et élancées, et notamment les risques liés au flambage. L’utilisation de la simulation de flambage est primordiale dans de nombreux secteurs de l’industrie. Laissez-moi vous présenter comment les solutions de simulation numérique de SOLIDWORKS vous accompagnent dans la compréhension et la résolution de cette problématique.
Commençons donc par définir le principe du flambage :
Flexion sous un effort de compression
Voici quelques images montrant des structures défaillantes sous certaines charges :
Vous pouvez voir les grandes déformations résultant de la défaillance du flambement et, dans certains cas, la perte totale de l’intégrité structurelle. Cela se produit généralement sur des structures élancées ou sur des composants avec des épaisseurs fines.
[eBook] Découvrez l’approche MODSIM !
Faîtes passer votre conception de produits à la vitesse supérieure grâce à la modélisation et la simulation intégrées. Supprimez les barrières entre conception et simulation grâce aux solutions de continuité numérique et accélérez votre développement produit.
Nous voyons clairement dans les exemples ci-dessus que le phénomène de flambage n’est pas à prendre à la légère. C’est pourquoi l’utilisation de solutions de simulation est nécessaire afin d’anticiper tout risques lors de la phase de conception.
SOLIDWORKS Simulation permet de réaliser des études de flambages à partir de vos conceptions 3D dans son module de flambage.
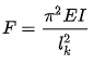
SOLIDWORKS utilise la formule d’Euler qui permet de déterminer la charge axiale maximale qu’une poutre élancée peut supporter sans flambement. La charge maximale, ou charge critique, fera que la poutre se trouve dans un état d’équilibre instable. Cela signifie que la poutre n’a pas encore fléchi, mais qu’elle est au bord du flambage et que toute augmentation de la charge ou l’introduction d’une légère force latérale entraînera le flambement de la poutre.
En analysant la formule d’Euler, nous voyons que la force nécessaire pour atteindre le flambement est proportionnelle au module d’élasticité du matériau, proportionnelle au moment d’inertie de notre poutre et proportionnelle à sa longueur.
SOLIDWORKS nous permet d’obtenir deux types d’informations lors de la réalisation d’une étude de flambage :
Après avoir déterminé le facteur critique de flambement via une étude de flambage, SOLIDWORKS Simulation permet également d’obtenir la déformation réelle de notre produit via une approche non linéaire.
“ Cela permet au concepteur de mieux appréhender la déformation de son produit ainsi que les contraintes associées une fois le seuil de flambage dépassé. „
Puisqu’ils sont le mieux placés pour en parler, nos clients témoignent sur les bénéfices qu’apporte le logiciel SOLIDWORKS Simulation au sein de leur bureau d’études.
La simulation 3D dans les systèmes d’essai pour les transports
La société GREENMOT est spécialisée dans les essais de moteurs thermiques, systèmes de propulsion et systèmes énergétiques. GREENMOT développe des bancs d’essai et de capteurs spécifiques, en menant des instrumentations multi-physique et essais véhicules (performance, consommation, pollution).
Le groupe Denis Somain, fruit d’une fusion en 2008 de deux sociétés spécialisées dans la chaudronnerie et la construction mécanique […]
Guillaume Goubet, Ingénieur avant-vente pour le groupe Visiativ
Ces contenus pourraient également vous intéresser
16
juin 2026
10h30 - 11h15
Découvrez comment passer à la simulation non linéaire au bon moment, pour fiabiliser vos analyses et sécuriser vos choix de conception.
21
mai 2026
09h00 - 11h30
Participez au petit-déjeuner MODSIM à Strasbourg le 21 mai 2026 chez Visiativ et plongez dans l’univers du MODSIM, où conception et simulation ne font plus qu’un.
25
juin 2026
09h00 - 11h30
Participez au petit-déjeuner MODSIM à Aix-en-Provence le 25 juin 2026 chez Visiativ et plongez dans l’univers du MODSIM, où conception et simulation ne font plus qu’un.
18
juin 2026
09h00 - 11h30
Participez au petit-déjeuner MODSIM à Lille le 18 juin 2026 chez Visiativ et plongez dans l’univers du MODSIM, où conception et simulation ne font plus qu’un.
Solutions SIMULIA
Réaliser des tests virtuels en conditions réalistes
Bénéficiez d'une suite de solutions de simulation reconnues dans toutes les disciplines : structure, fluides, dynamique, optimisation de processus...
Solutions SOLIDWORKS pour la Simulation
Etudier et tester le comportement réel d’un produit
Prédire le comportement physique réel de vos conceptions SOLIDWORKS.
Solutions 3DEXPERIENCE
Innover et partager en temps réel
Accédez à toutes les applications du cycle de vie produit depuis une plateforme unique pour faciliter la collaboration de tous les acteurs conception, simulation, fabrication, maintenance...
SOLIDWORKS Flow Simulation
Simuler l'écoulement de fluides et le transfert thermique
Appuyez-vous sur des fonctionnalités d’analyse et de calculs de dynamique de fluides (CFD) pour simuler au mieux les écoulements de liquide et de gaz à l'intérieur et autour de vos conceptions.
Inscrivez-vous à nos Newsletters
En savoir plus sur